In the vast and elegant architecture of the Standard Model of particle physics—the blueprint of how the universe works—most things fit neatly into place. But neutrinos have always been misfits. They are tiny, elusive, nearly massless particles that pass through you by the trillions every second without leaving a trace. Scientists know they exist. They’ve even tracked how they shift identities—a phenomenon called neutrino oscillation—but one puzzle continues to haunt the field: how do neutrinos get their mass at all?
Unlike other fundamental particles, whose masses are explained by interactions with the Higgs field, neutrinos don’t follow that script. The Standard Model originally described them as massless, yet experiments consistently show they must carry a tiny amount of mass. It’s a clue—perhaps one of the most exciting clues—in the search for physics beyond the Standard Model.
For years, researchers have explored one tantalizing possibility: that neutrinos gain mass through interactions with dark matter, the invisible stuff that makes up most of the mass in the universe. But a new study, published in Physical Review Letters, casts serious doubt on this bold idea.
The Dark Matter Hypothesis
To understand the mystery, we need to take a brief detour into the dark. Dark matter is one of the most compelling unsolved problems in astrophysics. Though we can’t see or touch it, we know it’s there. Its gravitational pull shapes galaxies, bends light, and governs the large-scale structure of the universe. But despite decades of hunting, scientists have yet to directly detect dark matter particles.
One subset of theories suggests that ultralight dark matter—made of particles with masses less than 10 electron volts (eV)—might subtly influence ordinary matter. Some physicists have speculated that this interaction could help explain why neutrinos have mass in the first place.
This bold proposal combines two of the greatest cosmic enigmas—neutrinos and dark matter—into one potentially elegant solution. But how do you test such a shadowy idea?
KamLAND Takes the Stage
Enter KamLAND, the Kamioka Liquid Scintillator Antineutrino Detector located deep beneath Japan’s mountains. It’s a massive underground observatory designed to catch fleeting traces of neutrinos from nuclear reactors, the Earth’s interior, and the sun. It operates in darkness, literally and figuratively—waiting patiently for the most elusive signals in the cosmos.
A team of physicists from Shanghai Jiao Tong University and the University of Salerno recently turned to KamLAND’s treasure trove of data to put the dark-matter hypothesis to the test. They included Luca Visinelli, Andrew Cheek, and Hong-Yi Zhang, researchers deeply engaged in the theoretical and observational frontiers of particle physics.
“The motivation for this work came from one of the most pressing open questions in particle physics: the origin of neutrino masses,” Visinelli explained in a recent interview with Phys.org. “Because neutrino masses are so small, their origin likely involves new physics beyond the Standard Model.”
Dark Waves and Ghost Particles
To investigate, the team developed a theoretical framework where neutrinos acquire mass through interaction with light bosonic fields—a type of dark matter particle that behaves more like a wave than a conventional particle. These waves oscillate in time and space, gently rippling through the universe like a background hum.
In this model, the frequency of those oscillations depends on the mass of the dark matter bosons. If the dark matter particles are ultralight, the waves they produce could be incredibly slow, spanning distances larger than the Earth’s orbit—or incredibly fast, with cycles shorter than a heartbeat. These variations could, in theory, alter how neutrinos oscillate as they travel through space.
The idea is both bold and beautiful. If neutrinos are surfing on a cosmic sea of dark matter, their behavior should leave detectable fingerprints. Those fingerprints would show up as anomalies or time-dependent variations in how neutrinos shift from one flavor (or type) to another.
Testing the Cosmic Waters
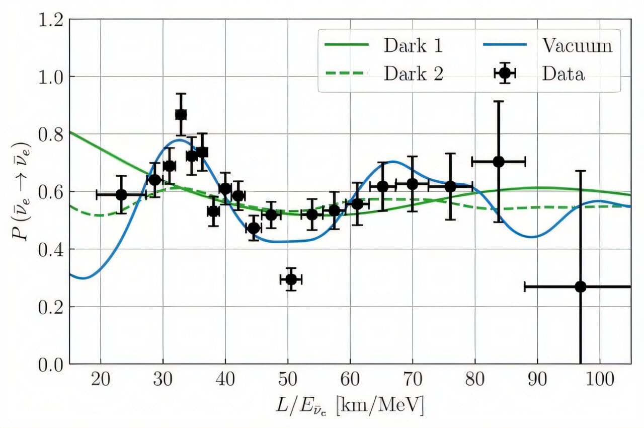
The researchers analyzed how the oscillating dark matter fields would interact with neutrinos on their way from their source to a detector like KamLAND. They factored in the spatial movement of the Earth, the characteristic length of the dark matter waves, and even the precise geometry of the detector setup. Then, they compared their theoretical predictions to the actual data.
What they found was decisive. If neutrino masses did arise from interactions with such ultralight dark matter, KamLAND and other neutrino observatories would have seen subtle deviations from the expected oscillation patterns. But they didn’t. The data showed no such effects.
“Our results suggest that such a dark-sector origin for neutrino masses is not supported by current data,” Visinelli said.
Not the Answer—But a Step Closer
The conclusion was clear but not disheartening. Science often progresses not only by finding answers, but also by ruling out the wrong ones. This result helps narrow the search and refocus the field.
It’s now more likely that neutrinos gain their mass through mechanisms unrelated to dark matter, possibly through interactions with unknown particles, new symmetries, or extensions of the Higgs mechanism. The rejection of one hypothesis sharpens the spotlight on others.
“By comparing theoretical predictions with data from solar and baseline neutrino experiments, we’ve provided a testable framework and a constraint on one family of models,” Visinelli noted.
What Comes Next?
The search is far from over. Next-generation neutrino detectors like JUNO (the Jiangmen Underground Neutrino Observatory) in China and DUNE (the Deep Underground Neutrino Experiment) in the United States are currently under development. These powerful experiments will probe neutrinos more precisely than ever before.
“Upcoming results from the JUNO and DUNE experiments could allow us to search for subtle time variations in neutrino oscillation parameters, compared with what is expected by a vacuum mass solution,” said Visinelli. If dark matter does influence other quantum systems in tiny ways, these instruments might catch the evidence.
Beyond neutrinos, Visinelli and his colleagues are also considering how these dark matter oscillations might affect atomic clocks, precision magnetometers, and other quantum devices. These tools can detect incredibly small shifts in energy levels—perhaps sensitive enough to capture a faint whisper from the dark sector.
A Universe Still Hiding Secrets
This study is a powerful reminder of the nature of modern science: a dance between data and imagination, between what we see and what we dream. The neutrino, once thought to be massless and uninteresting, has emerged as a potential portal into physics we barely understand. And dark matter, that vast invisible scaffold holding the galaxies together, continues to defy easy explanations.
By ruling out a connection between ultralight dark matter and neutrino mass, this new research doesn’t close a door—it opens others. It tells us that the path forward must go deeper, ask harder questions, and devise more ingenious ways to hear what the universe is trying to say.
Neutrinos remain among the most mysterious particles in the cosmos, but every study like this one brings us one step closer to understanding their story—and perhaps, ultimately, the story of the universe itself.
More information: Andrew Cheek et al, Testing the Dark Origin of Neutrino Masses with Oscillation Experiments, Physical Review Letters (2025). DOI: 10.1103/wyns-m4y5.






