In a world where physics often feels settled and mapped, occasionally a discovery rips through the expected, leaving even seasoned scientists stunned. That’s exactly what happened with uranium ditelluride (UTe₂)—a compound that breaks the rules of superconductivity, reemerging from destruction under extreme magnetic forces like something resurrected from the dead.
Now, in a groundbreaking study published in Science, a team of physicists led by Andriy Nevidomskyy of Rice University has mapped and explained a bizarre and beautiful superconducting phase in UTe₂—one that blooms under magnetic conditions that would typically snuff superconductivity out. Their research unveils a donut-shaped “halo” of superconductivity arising around a specific axis in the crystal when bombarded with magnetic fields exceeding 40 Tesla. For comparison, that’s more than a million times stronger than Earth’s magnetic field.
“When I first saw the experimental data, I was stunned,” said Nevidomskyy, a professor of physics and astronomy at Rice and a member of both the Rice Advanced Materials Institute and the Rice Center for Quantum Materials. “It defied what we thought we knew.”
Why Magnetic Fields Usually Kill Superconductors
To appreciate how strange UTe₂ is, it helps to understand what superconductivity typically looks like. In ordinary conditions, superconductors can carry electricity with perfect efficiency—no resistance, no energy loss. But this delicate state is fragile. Heat, magnetic fields, or physical disturbances can easily collapse it. In particular, magnetic fields are notorious for breaking up the special electron pairs—called Cooper pairs—that make superconductivity possible.
In most superconductors, applying a strong magnetic field is like turning on a loud radio in a library: it disrupts the quiet pairing of electrons, causing the superconducting state to collapse. So when UTe₂ was discovered in 2019 to maintain and even revive superconductivity under fields as high as 40 Tesla and beyond, it shocked the physics community.
Initially, superconductivity in UTe₂ vanished around 10 Tesla—an already extraordinary value—but then, inexplicably, reappeared at higher field strengths. This resurrection has been playfully dubbed the “Lazarus phase” after the biblical figure raised from the dead.
A Halo Appears in the Crystal
What truly captivated researchers was not just the reemergence of superconductivity but the strange and specific shape it formed. Nevidomskyy and his collaborators—including teams from the University of Maryland (UMD) and the National Institute of Standards and Technology (NIST)—set out to chart this mysterious behavior with exquisite precision.
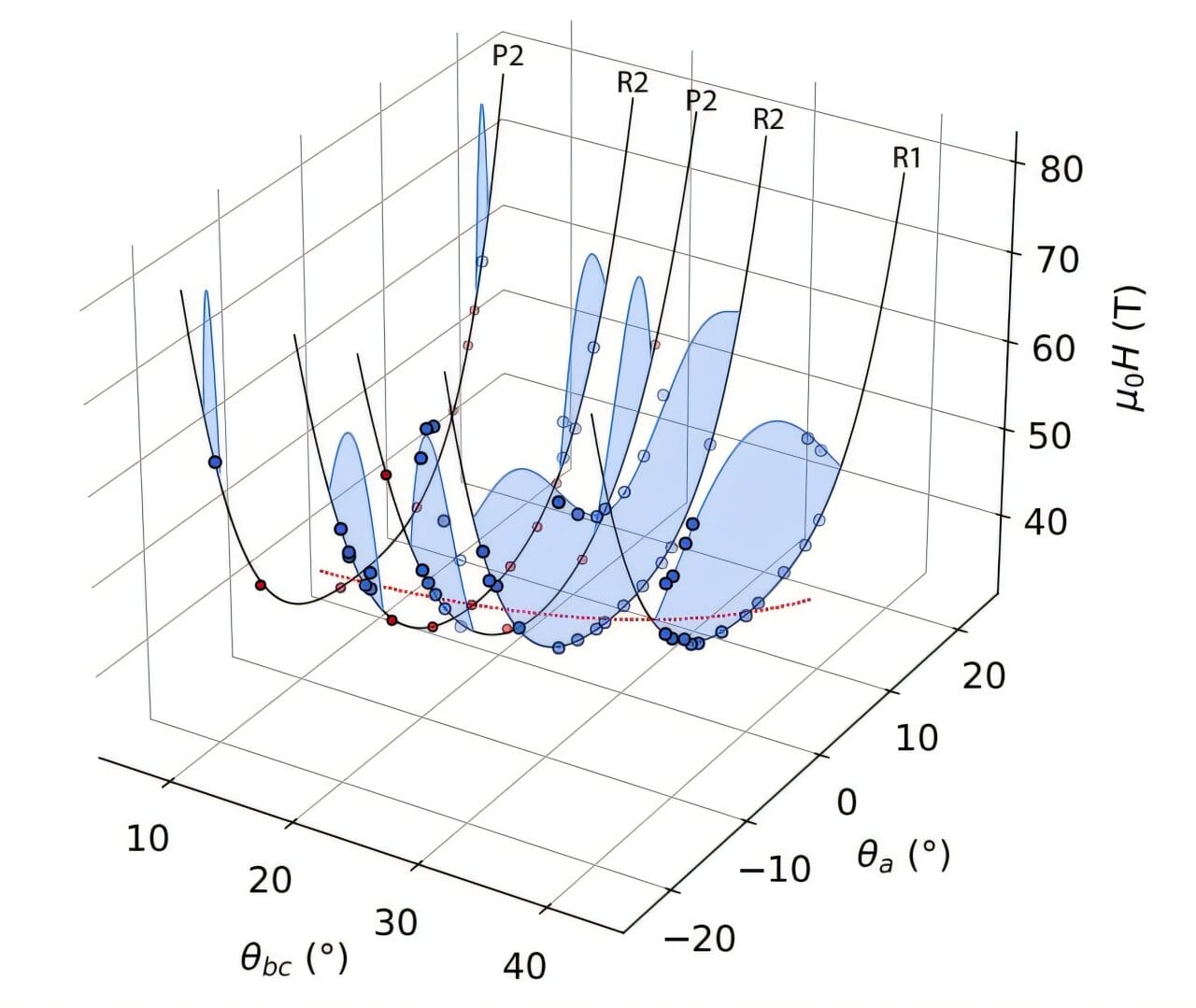
Through meticulous measurements, the team discovered that superconductivity in UTe₂ reemerged only when the magnetic field was aligned within a narrow range of angles relative to the crystal’s internal structure. Outside that range, the material remained in a normal, resistive state.
“We discovered a three-dimensional superconducting halo that wraps around the hard b-axis of the crystal,” said Sylvia Lewin of NIST, co-lead author on the study. “This was a surprising and beautiful result.”
Imagine threading a magnetic needle through the center of a crystal and watching superconductivity form a luminous, torus-shaped ring—like a halo—only at just the right tilt. This was no random patch of behavior but a clear, structured response. Something inside UTe₂ wanted to superconduct, but only when the field direction matched its internal symmetry just so.
Modeling the Unthinkable
Confronted with this dramatic data, Nevidomskyy set out to build a theory—not a speculative deep-dive into the unknown mechanisms of superconductivity, but a phenomenological model that explained the behavior based solely on the observed effects.
The model treated superconductivity like a dancer responding to music: the angle and strength of the magnetic field shaped the choreography. Nevidomskyy’s approach avoided the murky waters of complex quantum interactions and instead focused on the symmetry of the crystal, the direction of the magnetic field, and the intrinsic angular momentum of the Cooper pairs.
In essence, he showed that these electron pairs behave like tiny spinning tops. When a magnetic field interacts with their spin, it changes the energy landscape—sometimes opening a window for superconductivity to sneak back in.
The result? A model that mirrored the experimental data with remarkable precision, explaining the odd toroidal halo and offering new insight into one of the most unusual superconductors ever discovered.
The Magnetic Moment that Makes It Work
One of the study’s most intriguing outcomes is the realization that in UTe₂, Cooper pairs don’t just pair up passively—they carry a magnetic moment. This is rare and significant. It means they respond to magnetic fields in ways normal superconductors do not, and that the magnetic orientation in space—not just the strength—becomes a crucial ingredient.
“The fact that Cooper pairs have an intrinsic angular momentum helps explain why the superconductivity can reemerge in these specific orientations,” Nevidomskyy said. “This directional dependence is central to understanding the halo structure.”
This also explains a related, dramatic observation in UTe₂: the material exhibits a sudden jump in magnetization—a so-called metamagnetic transition—right before the Lazarus phase emerges. This transition appears to flip a switch that allows superconductivity to return, but only in the carefully defined angular corridor of the halo.
Peter Czajka, co-lead author from NIST, added, “The high-field superconductivity only appears once the field magnitude has reached this metamagnetic threshold, and that threshold itself is highly angle-dependent.”
Beyond UTe₂: A Glimpse into the Future of Quantum Materials
The work doesn’t just deepen our understanding of UTe₂—it hints at a new class of materials where superconductivity and magnetism are not enemies, but uneasy partners capable of remarkable behavior.
Superconductivity has long promised revolutionary applications, from lossless power grids to levitating trains to ultra-fast quantum computers. But practical deployment has always been limited by the fragile nature of the superconducting state. Materials like UTe₂ could help change that, offering blueprints for superconductors that thrive—even emerge—under conditions once thought destructive.
Moreover, this study reinforces the importance of crystal structure and symmetry in guiding exotic states of matter. It’s a reminder that materials are not just collections of atoms—they are architectures of quantum possibility, waiting to be understood.
A Magnetic Resurrection, and a Scientific Rebirth
The story of UTe₂ reads like a parable from the edge of science. A material once dismissed as conventional surprises the world. A state of matter thought dead returns, but only under precise cosmic choreography. And in the quiet calculations of a theorist at Rice University, a model is born that makes sense of the chaos.
Einstein once said, “The most beautiful experience we can have is the mysterious.” With the halo state of UTe₂, that mystery has become a map—and perhaps, a guidepost to a new frontier in physics.
As scientists continue to peel back the layers of UTe₂’s quantum behavior, one thing is certain: this is not the last time the universe will surprise us. And when it does, it will likely be in ways that challenge not only our equations, but our imagination.
More information: Sylvia K. Lewin et al, High-field superconducting halo in UTe2, Science (2025). DOI: 10.1126/science.adn7673






