Far beyond the reach of human eyes, deep in the night sky within the constellation Andromeda, two stars are locked in a breathtaking celestial embrace. Their light flickers faintly, reaching Earth as a whisper from 2,811 light-years away. To the naked eye, they appear as a single, modest point of light — but to astronomers, they are a living laboratory of cosmic intimacy.
These stars make up V717 Andromedae, a contact binary system — two suns orbiting so closely that they literally share their outer gaseous layers, forming a common envelope of stellar material. Such systems are rare, dynamic, and full of mysteries about how stars evolve, interact, and sometimes merge into a single blazing entity.
Recently, a team of astronomers from Australia and Serbia performed multi-band photometric observations of V717 Andromedae, uncovering crucial details about its physical properties and behavior. Their research, published on September 27 on the arXiv preprint server, shines new light on one of the most intriguing stellar relationships in our galactic neighborhood.
Peering Deeper into an Unknown Star
V717 Andromedae was first recognized as a contact binary in 2013, after astronomers noticed periodic fluctuations in its brightness — a telltale sign of two stars orbiting and eclipsing each other. The system brightens and dims in rhythmic pulses every 0.317 days — just over seven and a half hours. This rapid orbit indicates an incredibly tight configuration, where the two stars are separated by only about 2.13 times the radius of our Sun.
Until now, however, the system had been poorly understood. No dedicated observations had ever explored its structure, mass, or temperature in detail. That changed when Surjit Wadhwa and his team from Western Sydney University joined forces with astronomers using the 1.4-meter Milanković Telescope in Serbia. Together, they set out to study this enigmatic star system using high-precision, multi-band photometric techniques, complemented by archival data from previous surveys.
The result was a treasure trove of insights into how these stars live, evolve, and interact — painting one of the clearest portraits yet of a low mass ratio contact binary system.
The Heart of the System
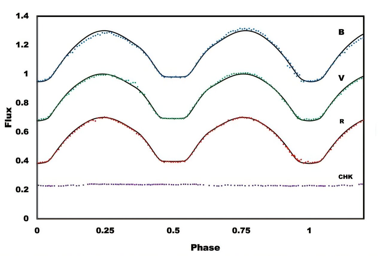
Through careful analysis of the system’s light curves — the patterns of brightness variation as the two stars orbit each other — the team was able to calculate key physical parameters for both stars.
The primary star, the larger of the two, has a radius of about 1.14 times that of the Sun and a similar mass. It burns at an effective temperature of 5,895 Kelvin, giving it a warm yellow glow much like our own Sun.
The secondary star is smaller and lighter — roughly 0.197 solar masses and about half the Sun’s radius. Despite the stark difference in size, both stars share remarkably similar surface temperatures, with the secondary measuring around 5,813 Kelvin.
This temperature similarity is a defining trait of contact binaries. Because the two stars share a common envelope of gas, heat is efficiently transferred between them, allowing both to maintain nearly identical thermal profiles. It’s as though they’ve learned to breathe together — two hearts beating in cosmic synchrony.
A System Balanced on the Edge
One of the study’s most intriguing findings is V717 Andromedae’s extremely low mass ratio — the ratio of the secondary star’s mass to that of the primary. With a value of 0.197, it falls into the category of extreme low mass ratio contact binaries. These systems are of particular interest to astronomers because they reveal how close two stars can orbit before gravity and rotation pull them apart — or fuse them into one.
Contact binaries like V717 Andromedae are often unstable. As the less massive star transfers material to its companion, the system can spiral toward collapse or merger, ending in a spectacular outburst or a single rejuvenated star. However, Wadhwa’s team found that V717 Andromedae’s mass ratio remains above the critical instability threshold (around 0.065–0.060). This means that the system, for now, is stable — its dance finely balanced, its shared energy harmonious rather than destructive.
In cosmic terms, it is a relationship on the edge, but one that endures.
Signs of a Restless Heart
Even in their apparent stability, the stars of V717 Andromedae are far from calm. The research team found strong indications that the system is chromospherically active — a scientific term describing stars whose outer atmospheres (chromospheres) are turbulent and magnetic.
This magnetic activity can manifest as starspots, flares, and energetic emissions — the stellar equivalents of storms and earthquakes. While the system does not display the O’Connell effect (a specific asymmetry in the light curve caused by intense magnetic phenomena), spectral observations revealed clear markers of activity: notably the Calcium II infrared triplet (Ca II IRT) lines, which glow brightly in active stars.
These spectral fingerprints suggest that beneath the surface, V717 Andromedae’s stars are teeming with magnetic tension and plasma turbulence. Like restless lovers bound together, their magnetic fields twist and interact through their shared envelope, producing constant motion and energy.
Observing the Unseen: The Power of Light
For astronomers, light is more than illumination — it is data, a code that reveals the secrets of distant worlds. In the case of V717 Andromedae, the research team used multi-band photometry, a technique that measures starlight at several wavelengths simultaneously.
By comparing brightness variations in different bands, scientists can infer a star’s temperature, size, and even atmospheric composition. Combined with distance and extinction estimates (which account for light absorbed by interstellar dust), these measurements allow researchers to determine a star’s absolute properties — its true luminosity, radius, and energy output.
This is how Wadhwa’s team could describe not just how far away the system is, but what kind of stars it contains and how tightly they orbit. It’s a reminder of the profound power of observation — that by studying faint variations in light, we can map the lives of suns trillions of kilometers away.
A Window into Stellar Evolution
V717 Andromedae is not merely a curiosity — it is a clue to a much larger cosmic mystery. Contact binaries play a crucial role in understanding stellar evolution, particularly in the later stages of binary star life cycles.
As two stars orbit closely, they can exchange mass and angular momentum, profoundly altering each other’s destinies. Some eventually merge, forming rapidly rotating single stars or triggering explosive phenomena like red novae. Others stabilize, maintaining their shared envelope for billions of years. Studying systems like V717 Andromedae helps astronomers refine models of how such binaries form, evolve, and sometimes end in cataclysmic bursts of light.
The fact that V717 Andromedae is stable yet highly active makes it a valuable case study — a rare example of equilibrium in a system teetering on the brink of instability. Its behavior provides insight into how energy is transferred in contact binaries and how they might avoid collapse despite their closeness.
The Story Written in Starlight
Every star has a story, and V717 Andromedae’s is one of intimacy, endurance, and balance. Two suns, orbiting each other every 7.6 hours, bound by gravity and wrapped in a shared shroud of gas. They are locked in a dance that has likely lasted for millions of years, their light flickering in perfect rhythm across the void.
To us, they are distant points in a telescope’s field of view. But to the universe, they are storytellers — narrating the tale of how stars live together, evolve, and sometimes die as one.
The research led by Wadhwa and his team is a reminder that even among the countless stars scattered across the cosmos, each system holds its own mysteries, waiting to be uncovered. V717 Andromedae is more than just data on a graph; it is a living example of the beauty and complexity of the universe — a pair of suns forever entwined in their luminous waltz.
The Endless Quest
In the grand scope of astronomy, every discovery like this is a step toward understanding not only distant worlds but our own origins. The same physical laws that govern V717 Andromedae also shaped our Sun, our planet, and life itself.
By studying how stars form, interact, and transform, we are, in essence, studying the cosmic conditions that made us possible. And while V717 Andromedae may seem small against the infinite canvas of space, its story adds a vital chapter to the epic tale of stellar evolution — one written in light, motion, and time.
As telescopes grow more powerful and technology more precise, astronomers will continue to listen to the songs of binary stars like V717 Andromedae — songs that echo across galaxies, whispering secrets of creation and connection. For in every flicker of light lies a fragment of truth about who we are and the vast, beautiful universe we call home.
More information: S. S. Wadhwa et al, V717 Andromedae: An Active Low Mass Ratio Contact Binary, arXiv (2025). DOI: 10.48550/arxiv.2509.23278






