High above the restless glow of Earth’s atmosphere, NASA’s Transiting Exoplanet Survey Satellite (TESS) continues to do more than just hunt for distant worlds. It’s also helping scientists unravel the intimate, ever-changing relationships between stars. In a new study led by Chinese astronomers, TESS has offered an unprecedented glimpse into one such stellar relationship—a volatile, pulsating binary star system called V455 Carinae—revealing a cosmic drama still unfolding more than 3,000 light-years from Earth.
The study, now published in the journal New Astronomy, focuses on V455 Car, a little-known member of a fascinating class of systems known as Algol-type binaries. These pairs are not quiet companions drifting through space together; they are dynamic, evolving entities engaged in a gravitational exchange of mass and momentum. And in the case of V455 Car, that exchange has left scars and clues that astronomers are just beginning to decipher.
When Stars Share More Than Light
Named after the prototype star Algol (Beta Persei), Algol-type binaries are semi-detached systems—a celestial term meaning that one of the stars has grown so large and diffuse that its outer layers spill over into its companion’s gravitational domain. This region, called the Roche lobe, acts like a gravitational envelope. When a star fills its Roche lobe, it can no longer hold onto its outer atmosphere. The gas flows outward, sometimes in violent bursts, forming a bridge between the two stars.
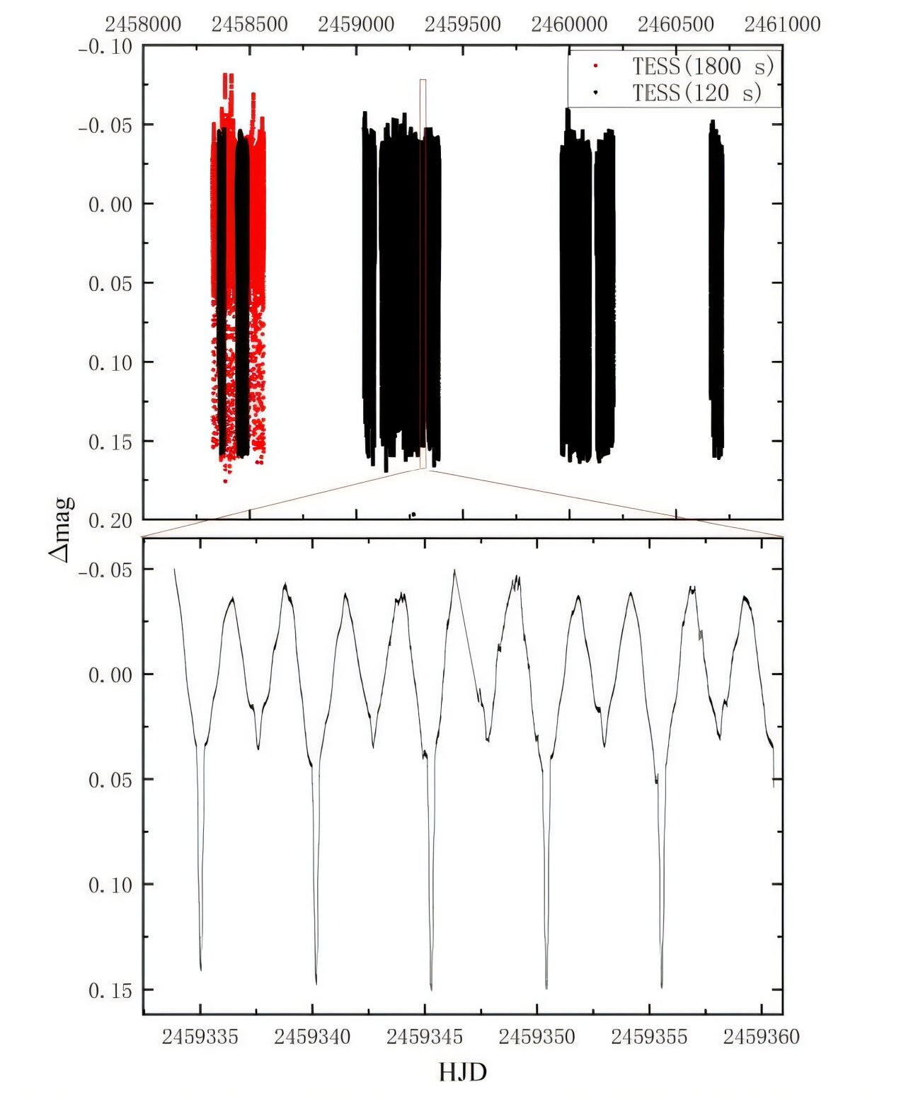
V455 Car, according to the researchers led by Zhao-Long Deng of China’s Yunnan Observatories, fits this description. But it’s not just any binary. It’s an oscillating eclipsing Algol-type binary—meaning its light dims and brightens as the stars pass in front of each other, while one of the stars also appears to pulsate. The system completes an orbit every 5.133 days, a tightly choreographed dance that belies the turbulence beneath.
Using precision photometric data from TESS, along with observations from ESA’s Gaia satellite and FEROS (the Fiber-fed Extended Range Optical Spectrograph), the team discovered a deeply unbalanced relationship between the two stars.
An Unequal Partnership
At first glance, V455 Car seemed fairly typical for its class. But beneath the surface, its physics tell a different story. The primary star—hot and massive—comes in at about 5.3 times the mass of our Sun, radiating fiercely at over 16,400 Kelvin and shining with 659 times the Sun’s luminosity. It’s a stellar heavyweight, compact and scorching.
Its partner, however, is a surprising contrast. The secondary star, though less massive at 1.58 solar masses, is bloated to a staggering 6.66 times the Sun’s radius and far cooler at just 5,619 K. It shines at a comparatively faint 40 solar luminosities, suggesting it is an evolved red giant that has already begun to surrender its mass to its younger, more compact sibling.
Astronomers found that the secondary star is on the brink of filling its Roche lobe, while the primary is still compact and far from its own overflow threshold. This asymmetry is evidence of a past event: a period of rapid mass transfer, during which the red giant shed much of its mass onto the hotter companion. The scars of that event still linger in the stars’ temperatures, sizes, and orbital characteristics.
A Hidden Third Player?
One of the most intriguing results from the study is a slow, cyclic variation in the timing of the stars’ eclipses. The team detected a periodic change spanning 26.62 years, a signal they believe hints at the gravitational influence of a third, unseen object—possibly a faint star or even a brown dwarf—with a minimum mass of 0.59 solar masses.
This distant third body, if confirmed, would make V455 Car not just a binary but a hierarchical triple system—a stellar ménage à trois in which the outer object exerts subtle tugs on the inner pair, distorting their orbit and possibly even affecting the past mass transfer events.
Such triple systems are not unheard of in the galaxy, but they introduce rich layers of complexity into stellar evolution. The gravitational interplay between three bodies can drive chaotic behavior, including episodic mass loss, orbital shrinkage, or even ejections.
Pulses in the Light
Adding yet another layer to the mystery, the team suspects that the primary star of V455 Car may belong to a rare class known as Slowly Pulsating B-type stars (SPBs). These stars are known for subtle, low-frequency brightness changes—stochastic low-frequency (SLF) variability—caused by internal gravity waves within the star.
Such pulsations offer clues about a star’s internal structure and composition, and could provide astronomers with vital insight into how energy is transported within stars, especially those caught in mass exchange with a companion.
“V455 Car represents a fascinating laboratory for stellar evolution,” the authors write. “It captures a rare moment just after a rapid mass transfer stage, with a companion still inflated and unstable. The light variations, orbital distortions, and component sizes all tell a story of transformation still underway.”
A Laboratory in the Sky
To scientists, V455 Car is more than just an oddity; it is a natural observatory—a stellar experiment billions of years in the making, now playing out in the cold, dark sky. As astronomers look to refine models of binary star evolution, the system offers a rare opportunity to test predictions against reality.
It challenges long-standing assumptions about how stars grow, age, and affect each other through close companionship. It also reminds researchers that even well-studied stellar archetypes like Algol can still harbor surprises, especially when watched closely with modern instruments like TESS.
A Story Still Unfolding
The study is just the beginning. Astronomers plan to continue monitoring V455 Car over time, hoping to confirm the third body’s presence and understand how mass and angular momentum evolve in such tangled systems. Longer observations could also verify the pulsational behavior of the primary star, potentially placing it within the broader context of stellar seismology.
In the end, what makes V455 Car so captivating is the story it tells—not just of two stars locked in gravitational embrace, but of transformation, loss, and hidden influence. A red giant giving up its mass, a hot companion growing ever brighter, and perhaps a silent third object pulling strings from the shadows.
It is, quite literally, a cosmic relationship drama—played out on a scale that humbles human imagination.
Reference: Zhao-Long Deng et al, V455 Car: An oscillating eclipsing Algol-type binary in triple star system, New Astronomy (2025). DOI: 10.1016/j.newast.2025.102412. On arXiv: DOI: 10.48550/arxiv.2506.10124






