Across the vast emptiness of the universe, there exist cosmic engines so powerful that they sculpt the very fabric of spacetime. These are active galactic nuclei, or AGNs—supermassive black holes nestled in the hearts of galaxies, pulling in matter with gravitational ferocity and hurling out energy with bewildering intensity. But some AGNs go even further. These are the jetted AGNs, cosmic lighthouses that blast out twin beams of matter and radiation at nearly the speed of light, cutting through the dark like lasers through fog.
To the eye of the astronomer, jetted AGNs are more than just visual marvels. They are puzzles wrapped in radiation, whispering secrets about the most extreme environments in the universe. Among their many mysteries, none is more captivating than their variability—a dance of brightness, an optical heartbeat that seems to rise and fall without warning. For decades, scientists have watched these distant objects pulse, flicker, and blaze, seeking to decode the rhythms of these black hole-powered light shows.
Now, thanks to a groundbreaking study led by Dr. Xiong Dingrong from the Yunnan Observatories of the Chinese Academy of Sciences, we are closer than ever to understanding the mechanisms that make these cosmic giants flicker. Published in The Astrophysical Journal Supplement Series, the study draws upon an unprecedented trove of long-term optical data and leverages modern statistical models to peer into the hidden workings of jetted AGNs.
Listening to Light Across Cosmic Time
At the heart of this research lies one of astronomy’s most powerful modern tools: the Zwicky Transient Facility (ZTF). With its wide field of view and high observational cadence, ZTF has become a time machine of sorts—capturing the evolving light curves of countless stars, galaxies, and black holes across the sky, night after night.
Dr. Xiong and his team tapped into this rich archive, focusing on a particular class of AGNs known for their gamma-ray emissions—one of the most energetic forms of radiation known. These are not quiet neighbors in the cosmos; they are violent, dynamic, and brimming with clues about how black holes feed and interact with their environments.
To make sense of the light variations recorded by ZTF, the researchers employed the damped random walk (DRW) model, a statistical tool often used to simulate random processes with memory. But this time, they didn’t stop there. By embedding the DRW model within a Gaussian Process (GP) framework, they could tease out subtle patterns in the chaos. This approach allowed them to separate real physical fluctuations from mere observational noise—effectively listening to the true “music” played by the black holes over time.
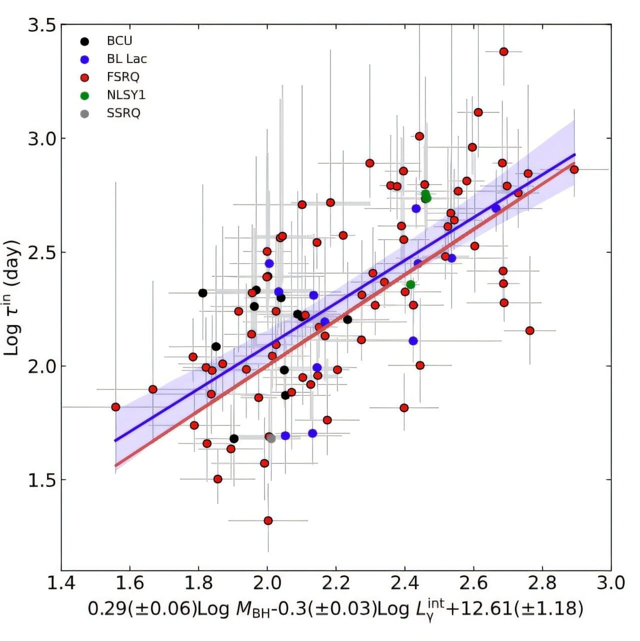
But perhaps the boldest step was their decision to incorporate jet power, as measured through gamma-ray luminosity, directly into their analysis. Using nonparametric Gaussian regression, the team connected the dots between the flickering of light, the mass of the black holes, and the sheer ferocity of their relativistic jets.
When One Model Is Not Enough
What emerged from this detailed analysis was both expected and astonishing. The DRW model, long considered a solid first approximation for AGN variability, proved insufficient to explain the full range of behaviors observed. Jetted AGNs, it turns out, do not conform to a single universal pattern. They are as diverse in their variability as they are in their orientation, jet structure, and accretion modes.
More revealingly, the study found distinct correlations between three crucial parameters: intrinsic variability timescale, black hole mass, and jet power. These relationships weren’t merely academic—they painted a new picture of how jetted AGNs operate under different conditions. In particular, the nature of the variability appears to change dramatically depending on how efficiently matter is being accreted onto the black hole.
In systems with efficient accretion, where matter falls steadily into the black hole and radiates brightly in the process, the optical variability seems to originate from ultraviolet-emitting regions of the accretion disk. These regions are not static; they ripple with magnetic turbulence, shockwaves, and high-energy electrons accelerated by the jet’s internal dynamics. When the jet is angled toward Earth, the emitted light is further intensified by the Doppler beaming effect, making the variability appear even more dramatic.
But in systems with inefficient accretion, a different mechanism takes over. Here, the jets still roar, but the accretion disk glows more dimly, and the variability timescale is closely tied to the time it takes for high-energy electrons to escape the jet structure. It’s not just the black hole’s appetite that changes—it’s the entire choreography of light and matter around it.
New Clarity in a Cloud of Confusion
One of the challenges that has haunted AGN studies for decades is the lack of a unified model for their variability. Astronomers have long struggled to reconcile the diverse observational behaviors of AGNs with a single theoretical framework. The work by Dr. Xiong’s team doesn’t completely solve that puzzle, but it offers a critical piece—a blueprint for how to build better, more adaptive models.
By segmenting jetted AGNs according to their accretion regimes and analyzing how jet power interacts with black hole mass and variability, the team has introduced a two-branch model that brings new clarity to the field. Instead of forcing all AGNs into a one-size-fits-all explanation, the model allows for pluralism—recognizing that different physics may dominate under different conditions.
This approach also respects the complexity of the environment surrounding a jetted AGN. It’s not just the black hole that matters; it’s the disk, the jet, the magnetic fields, and the observer’s angle of view. It’s a symphony of physics, not a solo performance.
The Human Drive to Understand the Dark
Why do we care so deeply about the flickering light of distant black holes? Perhaps because in those cosmic variations, we see reflections of our own universe’s instability—its bursts of creation and destruction, its rhythms and ruptures. Or perhaps it’s because, like ancient astronomers charting the stars for signs of fate, we cannot help but watch for patterns in the darkness.
AGNs, and especially their jetted cousins, challenge us to understand the extremes. They test our physics, stretch our models, and reveal how little we truly grasp about the workings of space-time. Studies like this one, grounded in massive datasets and cutting-edge analytics, bring us a step closer to decoding the engines that shape galaxies, bend light, and accelerate matter across millions of light-years.
And in doing so, they remind us that science is not just about answers. It’s about the courage to ask better questions, to peer into the cosmos with ever sharper tools, and to let the universe surprise us—even when we think we’ve seen it all.
Toward the Next Horizon
This study doesn’t close the book on AGN variability. On the contrary, it opens new chapters. Future observations—especially those coming from next-generation facilities like the Vera C. Rubin Observatory and space-based gamma-ray telescopes—will add even more detail to this ever-evolving story.
But thanks to the work of Dr. Xiong Dingrong and his team, we now have a firmer grip on the dynamics at play. We know that variability in jetted AGNs is not a single phenomenon but a tapestry woven from mass, motion, radiation, and time.
And like all great tapestries, it tells a story—one of unimaginable power, cosmic scale, and the relentless human drive to understand the light behind the darkness.
Reference: Dingrong Xiong et al, A Characteristic Optical Variability Timescale in Jetted Active Galactic Nuclei: A Large Gamma-Ray Emission Sample, The Astrophysical Journal Supplement Series (2025). DOI: 10.3847/1538-4365/add481






